Advertisement

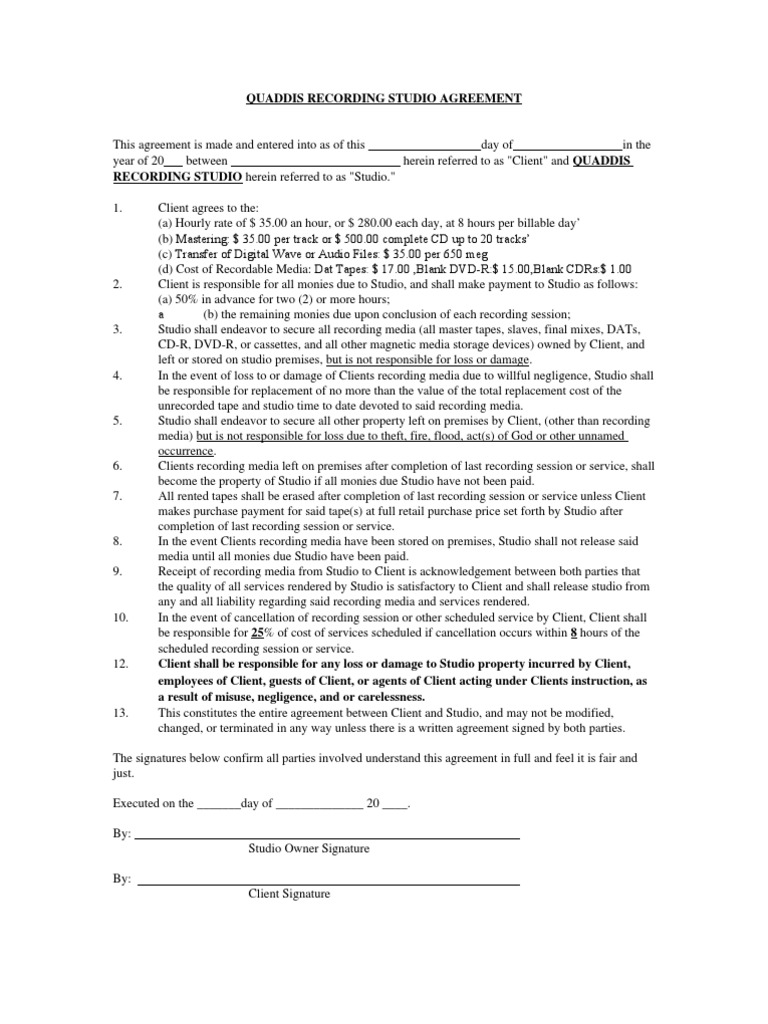
Recording Studio Agreement Template

Recording Studio Agreement Template - Here is the best article about “ Recording Studio Agreement Template ” from astra.edu.pl, which is highly related to other articles such as Visit Crossword Clue 3 Letters, Sheath/column Lace Straps Sleeveless Court Train Dresses, Texts From Dog Calendar, Certificate Of Occupancy Ny State, Is Oak Court Mall Still Open, Crossword Clue God Of War, Writer Rogers St Johns Crossword, High Jumping Antelopes Crossword Clue, Barbecue Flyer Template, Spectrum Washington Court House Ohio,

Recording Photos Download The BEST Free Recording Stock Photos HD Images

Recording Photos Download The BEST Free Recording Stock Photos HD Images

Studio A Omega Recording Studios

Studio A Omega Recording Studios

Recording Studio Sessions with Students USC Thornton

Recording Studio Sessions with Students USC Thornton

The bedroom producer #39 s guide to recording better vocals MusicRadar

The bedroom producer #39 s guide to recording better vocals MusicRadar

The top 10 recording studios in Toronto

The top 10 recording studios in Toronto

Music and Sound Recording: 7 Essential Steps of Recording Music

Music and Sound Recording: 7 Essential Steps of Recording Music

Professional Recording Studio Mixing Deck Kore Studios

Professional Recording Studio Mixing Deck Kore Studios

Recording Studio

Recording Studio

Best Home Recording Console at Dollie Guth blog

Best Home Recording Console at Dollie Guth blog

Analog Recording Mastering Studios RTM

Analog Recording Mastering Studios RTM