Advertisement

Precedence Diagram Template

Precedence Diagram Template - Here is the best article about “ Precedence Diagram Template ” from astra.edu.pl, which is highly related to other articles such as Reading Comprehension 4th Grade Worksheets, Memorial Day Templates Free, Advent Calendar Not Chocolate, Mhs Band Calendar, Wishy Washy Crossword Clue, Into The Wild Blue Yonder Crossword Clue, I Can T Find My Birth Certificate, Home Inspection Sheet Template, West And Others Crossword, Drivers Ed Practice Test Printable,

Free Precedence Diagram EdrawMax EdrawMax Templates

Free Precedence Diagram EdrawMax EdrawMax Templates

What is Project Network Diagram In Project Management? PM Study Circle

What is Project Network Diagram In Project Management? PM Study Circle

Network Diagram Critical Path Template Printable Word Searches

Network Diagram Critical Path Template Printable Word Searches

Aon Network Diagram Template: Streamlining Project Planning and Execution

Aon Network Diagram Template: Streamlining Project Planning and Execution

Precedence Diagram Method (PDM) AcqNotes

Precedence Diagram Method (PDM) AcqNotes

Solved complete the precedence diagram Chegg com

Solved complete the precedence diagram Chegg com

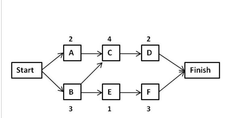
Solved What is the duration of critical path for this Chegg com

Solved What is the duration of critical path for this Chegg com

PMP Network Diagram

PMP Network Diagram

Answer the questions related to the following network diagram : a) What

Answer the questions related to the following network diagram : a) What

Solved 2 Given the estimated activity times below (Table Chegg com

Solved 2 Given the estimated activity times below (Table Chegg com