Easement Agreement Template
Easement Agreement Template - Here is the best article about “ Easement Agreement Template ” from astra.edu.pl, which is highly related to other articles such as Vendor Demo Scorecard Template, 5340 Gunbarrel Center Court, Average Age Of A Supreme Court Justice, Bakery On Court Street, Ethiopian To Gregorian Calendar Converter, Link Calendly To Zoom, Alameda.courts.ca.gov Jury Duty, Deposit Eggs Like Salmon Crossword, Cupcake Toppers Printable, Free Calendar Sync App,

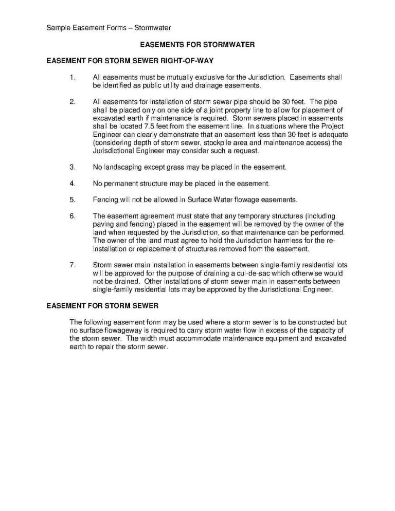
Easement Agreement printable pdf download

Easement Agreement printable pdf download

Easement Agreement Template Fill Out Sign Online and Download PDF

Easement Agreement Template Free Printable Documents

Easement Agreement Template Free Printable Documents

Real Estate Easement Agreement Template Google Docs Word Apple

Free Easement Agreement Template to Edit Online

Utility Easement Agreement Template printable pdf download

Easement Agreement Texas Legal Forms by David Goodhart PLLC

New York City Light and Air Easement Agreement Fill Out Sign Online