Advertisement

Database Documentation Template

Database Documentation Template - Here is the best article about “ Database Documentation Template ” from astra.edu.pl, which is highly related to other articles such as Substance Abuse Worksheet, Southwest Airlines Professional Communications Certification, Pipeline Template Excel, Open House Scavenger Hunt Template, Night Vision Crossword Clue, What Success Looks Like Today Slide Template, Canva Collage Templates, Birth Certificate Kerala, Carpenters Bladed Tool Crossword, Ballet Eg In French Crossword,

IT Database Schema Documentation Template in Word PDF Google Docs

IT Database Schema Documentation Template in Word PDF Google Docs

IT Database Schema Documentation Template in Word PDF Google Docs

IT Database Schema Documentation Template in Word PDF Google Docs

Free Database Templates to Edit Online

Free Database Templates to Edit Online

(PDF) Database Documentation Template DOKUMEN TIPS

(PDF) Database Documentation Template DOKUMEN TIPS

Database Project Documentation: Step by Step Guide Course Hero

Database Project Documentation: Step by Step Guide Course Hero

DAD 220 Database Documentation Template pdf Jaileene Rivera Gonzalez

DAD 220 Database Documentation Template pdf Jaileene Rivera Gonzalez

DAD 220 Database Documentation Template Taylor docx DAD 220

DAD 220 Database Documentation Template Taylor docx DAD 220

Process Documentation Free Download Word PDF

Process Documentation Free Download Word PDF

Creating a Database Schema: Step by Step Guide to Database Course Hero

Creating a Database Schema: Step by Step Guide to Database Course Hero

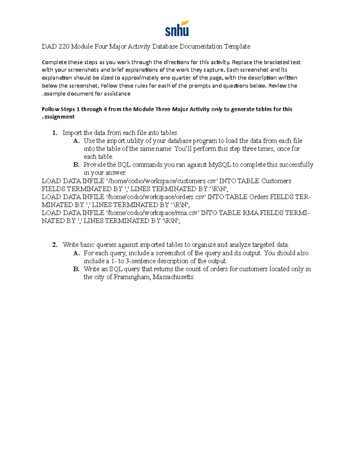
Activity Database Documentation Template DAD 220 Module Four Major

Activity Database Documentation Template DAD 220 Module Four Major